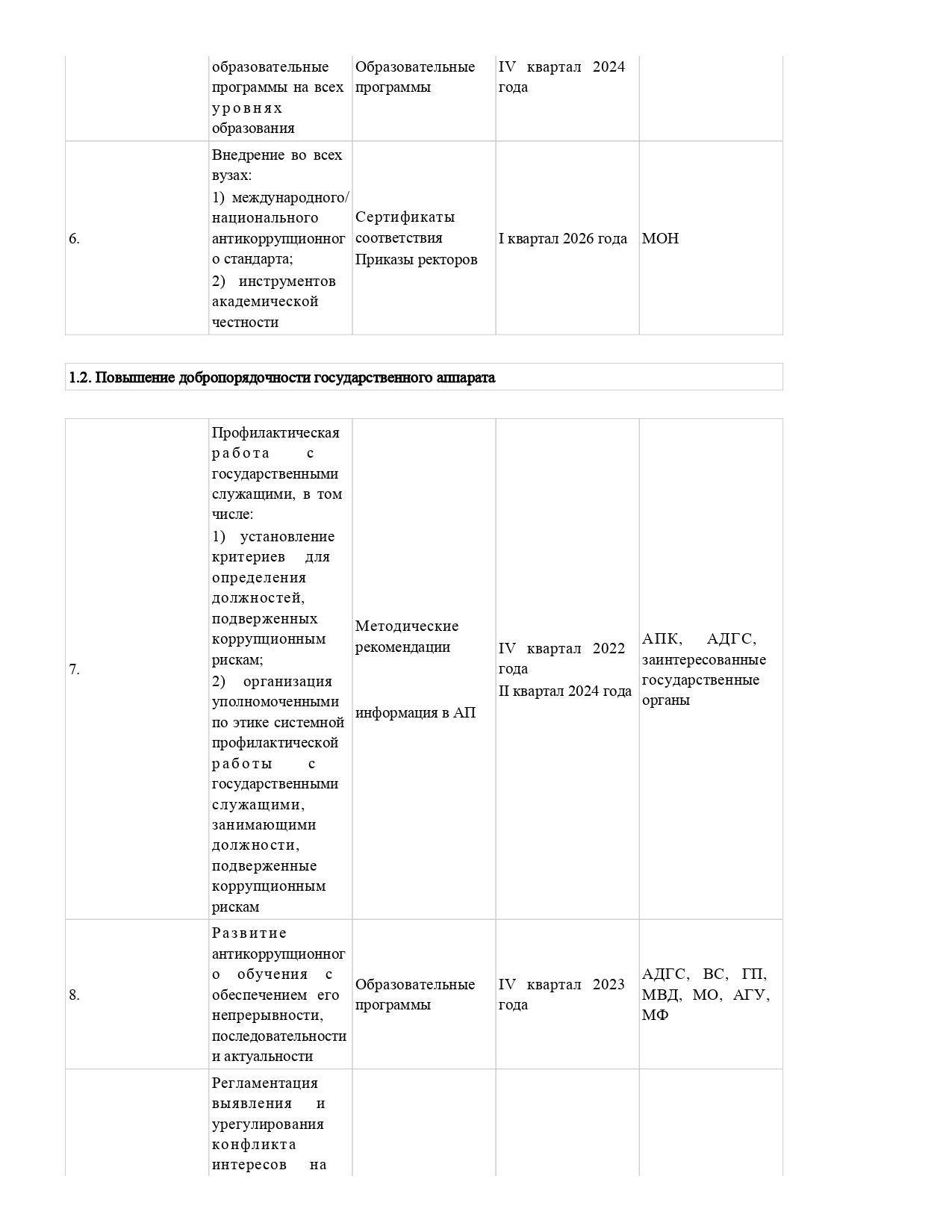
Об утверждении Концепции антикоррупционной политики Республики Казахстан на 2022 - 2026 годы и внесении изменений в некоторые указы Президента Республики Казахстан » КГУ «Средняя общеобразовательная школа № 3»
Абай облысы білім басқармасының
Семей қаласы білім бөлімінің
«№3 жалпы орта білім беретін мектебі»
коммуналдық мемлекеттік мекемесі
Қабылдау бөлімі:
+7 (7222) 54-12-92
Нашар көрушілер
нұсқасы

«№3 жалпы орта білім беретін мектебі» КММ ресми сайтына қош келдіңіздер! Добро пожаловать на официальный сайт КГУ "Средняя общеобразовательная школа№3"

» » Об утверждении Концепции антикоррупционной политики Республики Казахстан на 2022 - 2026 годы и внесении изменений в некоторые указы Президента Республики Казахстан

Апта цитатасы: Өнер, білім - бәрі де оқуменен табылған. Ыбырай Алтынсарин

Школа № 3Общеобразовательная школа в Семее